Overview

5 What’s up with you, Directed Acyclic Word Graph?

This chapter tackles practical ways to store and search large word lists for exact membership and rapid prefix enumeration, problems that show up in autocomplete and word games. It frames the required operations with a simple interface and compares options: hash sets are excellent for membership tests but are essentially unusable for prefix queries, while sorted lists enable binary search with O(m log n) time but can still be costly per match and consume notable memory. To improve both speed and space, the chapter pursues data structures that share common substrings and highlights a key theoretical lens: the connection to finite state automata.

Tries address time performance by deduplicating prefixes: words are paths labeled by characters, with nodes marking word ends. They’re easy to build in O(mn) total time and support O(m) Contains and StartsWith, a clear win over sorted lists. However, naïve implementations are memory-hungry: many nodes, large per-node dictionary overhead, and vast numbers of redundant leaves and repeated suffixes in real lexicons. Viewing a trie as a deterministic finite-state automaton reveals that many nodes are equivalent; minimizing the automaton would remove them—ideally without first constructing a large, wasteful trie.

The solution is a Directed Acyclic Word Graph (DAWG), a minimal deterministic automaton that deduplicates both prefixes and suffixes. Using words in sorted order, the Daciuk–Watson–Watson algorithm incrementally maintains an almost-minimal graph by finding the common prefix with the previous word, recursively “fixing up” the previous word’s suffix with a canonical set of nodes and a structural equivalence test backed by a hash set, then appending the new suffix. The result preserves O(m) queries and achieves O(mn) construction while dramatically shrinking space in practice: for the ENABLE benchmark, nodes fall from about 388,000 in a trie to roughly 54,000 in a DAWG, with far fewer edges as well. Although object overhead still costs memory, DAWGs can be packed into tight byte arrays when needed, yielding an elegant, memory-efficient, high-performance approach to word-list search.

The trie for a nine-word list, laid out here left to right, and in alphabetical order from top to bottom. Node numbers are not data in the tree; they are just so we can refer to them in the discussion which follows. Double-circle nodes represent ends of words.
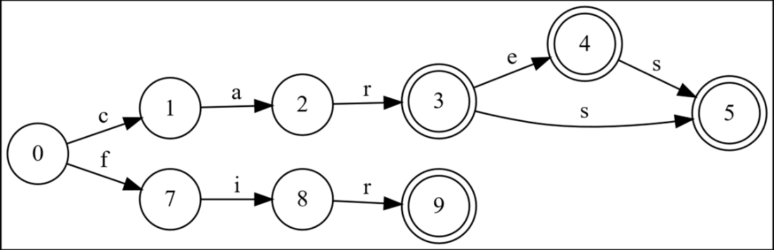
The trie for the word list “car”
The trie for the word list “car”, “care”.
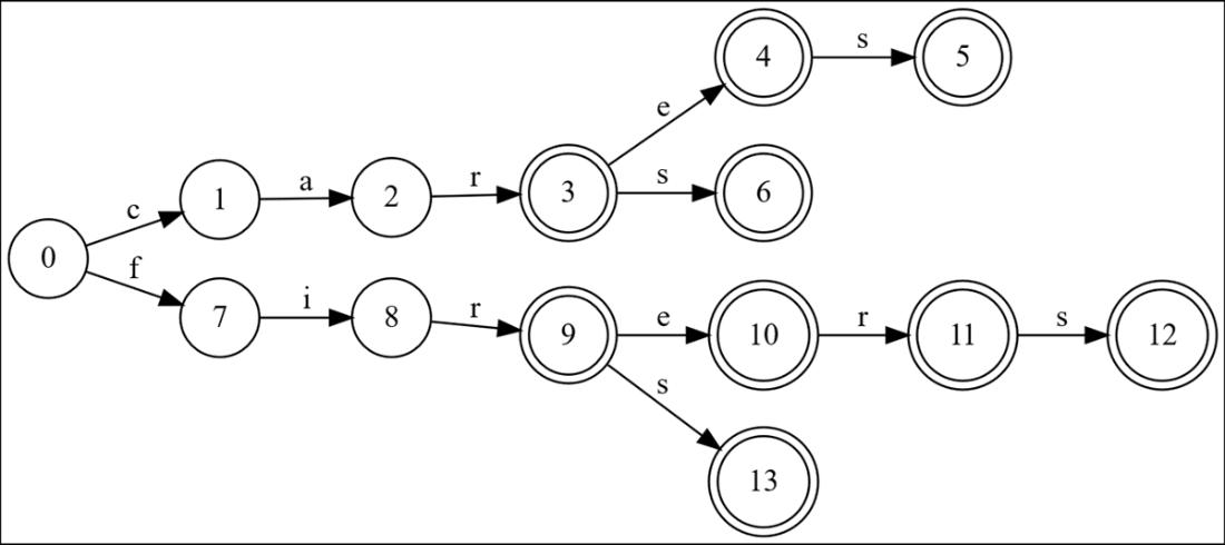
A trie with nine words: car, care, cares, cars, fir, fire, firer, firers, firs
Deduplicating all the leaves of the trie produces an equivalent word graph.
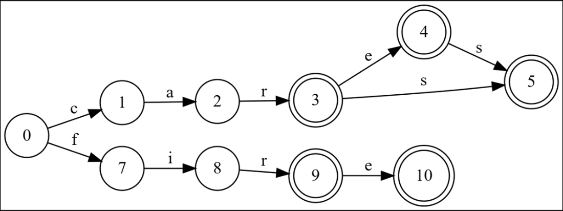
We’ve added car, care, cares and cars. The graph is optimized for everything except “cars”. Node 6 is identical to node 5, but node 6 is in “cars” so we have not fixed it yet.
After adding “fir” the graph is optimized for every word except “fir”. State 9 could be replaced with state 5, so this graph is not optimized for the final word.
Do you notice something odd about this graph after adding “fire”?
After adding “firer” and “firers”, the nodes for “firers” are still not optimized.
We look for optimizations moving backwards from the end of the previous word added, and first discover that node 12 is redundant; node 11 should have an edge to node 5 instead.
We’ve now fully optimized the “ers” portion of “firers” and we’re ready to add “firs”.
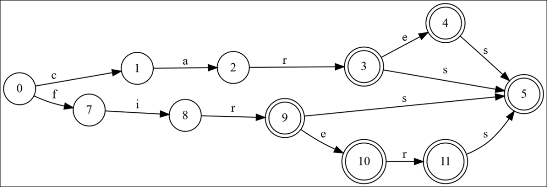
“firs” is added, and everything is optimized except for node 13, which is redundant to node 4.
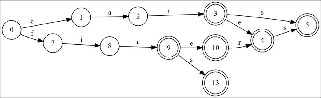
This is the smallest possible DAWG that represents those nine words.

Summing Up

  • Storing n words of average length m in a list such that we can generate all the words matching a particular prefix is a common problem. The number of words can be very large.
  • Hash sets are great at determining if a given word is contained in a set, but not at all good at generating completions given a prefix.
  • We can get O(m log n) search performance by using binary search on a sorted list, which is probably acceptable -- but this solution uses a surprisingly large amount of memory if we use off-the-shelf parts.
  • We can get O(m) search performance by using a trie to deduplicate prefixes, but the number of redundant nodes is potentially enormous.
  • By noticing that tries are a special case of finite state automata, we could use any one of many algorithms that minimize FSAs without changing the language they recognize. But starting with the huge, space-inefficient trie in memory and running an expensive, difficult minimization algorithm is not great; what we really want is to build an optimized DAWG one word at a time.
  • Efficiently detecting when two nodes are redundant and can be safely merged is a key sub-problem in graph minimization; if we are careful about not mutating a node after it is in the canonical set of optimized nodes, we can do so very efficiently.
  • We can make DAWGs very small in memory if we need to; this is exactly what game developers did back in the day.

FAQ

What problems does this chapter tackle, and what operations must a word list support?It focuses on storing very large word lists and searching them efficiently, especially for autocomplete and word games. The two core operations are: Contains(word) to test membership, and StartsWith(prefix) to enumerate all words that begin with a prefix. It compares multiple data structures (hash sets, sorted lists, tries, DAWGs) for time and space trade-offs and shows how to build tries and minimal DAWGs from a sorted word list.
Why are hash sets a poor choice for prefix searches?Hash sets excel at Contains with O(m) time (m = word length) because hashing processes each character once. However, they are essentially useless for StartsWith because good hash functions deliberately scatter similar strings across buckets; there’s no efficient way to enumerate all words sharing a prefix from a hash set.
How does a sorted list implementation work, and what are its time costs?With a sorted List<string>, Contains uses binary search in O(m log n). StartsWith binary-searches to the first candidate in O(m log n), then scans forward, checking the prefix for each match in O(m) per result. Overall: O(m log n) to find the start plus O(m × number_of_matches). Memory with off‑the‑shelf strings can be several megabytes; a custom UTF‑8 byte array plus offsets can cut that substantially.
What is a trie, and how does it improve search performance?A trie deduplicates common prefixes by representing words as paths from a root through character-labeled edges. Contains and StartsWith both run in O(m) to reach the node for the prefix; emitting each result costs O(m) to construct the string. Building a trie over n words of average length m takes O(mn). Implementation tips include using a StringBuilder during DFS to avoid accidental quadratic string concatenation.
What does a trie node store, and why hide the edge dictionary?Each node tracks: a boolean IsEnd (word ends here), the outgoing edge labels, and the child nodes. Expose operations like HasEdge, FollowEdge, TryFollowEdge, TryAddNewNode instead of publishing the Dictionary<char,Node> directly. This keeps the API self-descriptive (nodes/edges, not dictionaries), preserves flexibility to change implementations, and keeps all common operations O(1).
Do tries actually save memory on large word lists?They save character storage by deduplicating prefixes, but have heavy per-node overhead. For ENABLE (172,820 words; 1,570,508 chars), the trie had 387,881 nodes, including 111,507 identical leaf nodes. The object overhead (dictionaries, headers, references) can erase much of the character savings; search is faster, but memory usage can still be high.
What is a DAWG (a.k.a. DAFSA), and why is it more compact than a trie?A DAWG is a Directed Acyclic Word Graph that deduplicates suffixes as well as prefixes, producing a minimal deterministic automaton for the word set. On ENABLE, the DAWG had 54,167 nodes vs 387,881 in the trie and 122,975 edges vs 387,880—about 86% fewer nodes. Many English words share suffixes (-s, -ed, -ing), so suffix deduplication yields huge wins. Conceptually, both tries and DAWGs are finite state automata; DAWG is the minimized FSA for the same language.
How is a minimal DAWG built from a sorted word list?The algorithm adds words in ordinal (character-by-character) sorted order while maintaining this invariant: the graph is minimal for all words except the last one added. For each new word: find the common prefix with the previous word, optimize the previous word’s suffix right-to-left (merging equivalent nodes via a canonical set), then append the new suffix. After the final word, fix up the last suffix. Time remains O(mn). Important: use ordinal sorting (beware cases like German “ß” vs “ss”).
How are node equivalence and hash-set safety handled during minimization?Two nodes are equivalent iff: (1) both are end-of-word or both are not; (2) they have the same number of outgoing edges; (3) they have the same set of edge labels; (4) corresponding edges point to the same child nodes by reference. Use an IEqualityComparer<Node> that compares these and computes a hash from IsEnd plus ordered edge labels and child references. Rule: never mutate objects once inserted into a hash-based set; only add nodes to the canonical set after they’re fully optimized, and mutate edges (ReplaceEdge) before a node becomes canonical.
How do DAWGs perform in practice, and how can they be packed into very little memory?Search with a DAWG is the same as with a trie: O(m) to reach the prefix node, O(m) per emitted word. Building is O(mn), like a trie, plus cheap O(1) per-node fixups. A dictionary-backed DAWG uses fewer bytes than a naive string list but more than a custom flat string store. For extreme constraints, pack nodes/edges into a single byte array (e.g., 4-byte header with end-flag and alphabet bitmask, followed by 3-byte child offsets). ENABLE’s DAWG fits in roughly 585,593 bytes with such a layout—small enough for 640KB-era machines.

pro $24.99 per month

  • access to all Manning books, MEAPs, liveVideos, liveProjects, and audiobooks!
  • choose one free eBook per month to keep
  • exclusive 50% discount on all purchases
  • renews monthly, pause or cancel renewal anytime

lite $19.99 per month

  • access to all Manning books, including MEAPs!

team

5, 10 or 20 seats+ for your team - learn more


choose your plan

team

monthly
annual
$49.99
$499.99
only $41.67 per month
  • five seats for your team
  • access to all Manning books, MEAPs, liveVideos, liveProjects, and audiobooks!
  • choose another free product every time you renew
  • choose twelve free products per year
  • exclusive 50% discount on all purchases
  • renews monthly, pause or cancel renewal anytime
  • renews annually, pause or cancel renewal anytime
  • Fabulous Adventures in Data Structures and Algorithms ebook for free
choose your plan

team

monthly
annual
$49.99
$499.99
only $41.67 per month
  • five seats for your team
  • access to all Manning books, MEAPs, liveVideos, liveProjects, and audiobooks!
  • choose another free product every time you renew
  • choose twelve free products per year
  • exclusive 50% discount on all purchases
  • renews monthly, pause or cancel renewal anytime
  • renews annually, pause or cancel renewal anytime
  • Fabulous Adventures in Data Structures and Algorithms ebook for free